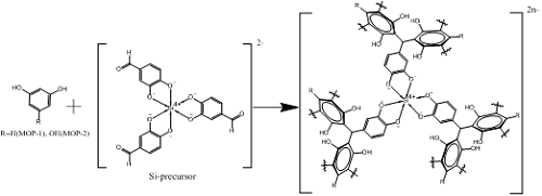
“他山之石,可以攻玉”,学科之间相互借鉴必定带来新的机遇和创新。酚醛树脂是一类被广泛应用的致密型高分子聚合物,无法作为孔材料应用。但酚与醛基之间的羟醛缩合是一种高效构建C-C键的方法,可用来构筑多孔聚合物。最近,辽宁省无机分子基重点实验室借鉴酚醛树脂的合成机理和方法,将三(3,4-二羟基苯甲醛)硅酸盐与间苯二酚或间苯三酚在酸催化下缩合制备出酚醛树脂型阴离子多孔聚合物MOP-1和MOP-2(图1)。聚合物均为直径2-5μm的实心微球,其比表面积分别为1846.5m2/g和2206.7m2/g,远高于文献报道的酚醛树脂型有机聚合物,且孔径分布都集中在1nm,表现出微孔的特征。


图1MOP-1和MOP-2的合成方案及其SEM图
将MOP-1和MOP-2用于对水中阳离子染料亚甲基蓝(MB)和孔雀石绿(MG)的吸附性能研究。结果表明:MOP-1对MB和MG最大吸附量分别为712.2mg/g,和593.6mg/g;MOP-2对MB和MG的最大吸附量分别为233.8和324.7mg/g。同时两种吸附剂均不吸附阴离子染料甲基橙和大体积阳离子染料碱性蓝7,均表现出明确的电荷和尺寸选择性。经四个吸附-脱附循环后,MOP-1和MOP-2的吸附量没有明显降低,表现出稳定的吸附性能。吸附机理研究表明离子交换作用、与酚羟基间的静电相互作用在吸附过程中起主导作用。
该研究成果发表于化学工程领域权威期刊Chemical Engineering Journal(Chem. Eng. J., 2019, 366, 404, IF=8.355)。论文的第一作者为应用化学学院硕士研究生王彬彬,通讯作者为应用化学学院孙亚光教授和熊刚副教授。该研究开发了一种可制备含有多酚羟基、高比表面积、孔径分布窄的微孔聚合材料的新方法,为类似多孔材料的制备提供了可借鉴的实验方案。该研究得到了国家自然科学基金的资助。